新闻中心
News
大学生电子竞赛题目分析——2024年C题《无线传输信号模拟系统
设计制作用于模拟产生无线传输信号的系统,包括模拟产生直达传输信号和多径传输信号,并合路得到模拟的无线传输信号。其中,直达信号的初相、幅值可设置,多径信号相对直达信号的时延、初相和幅值衰减可设置。系统的组成框图如图所示。模拟产生的直达信号SD、多径信号SM,以及合路的输出信号SOut都需要留出测试端口,以便进行测试。

( 1 )模拟产生一个固定载波频率的无线传输信号,载波频率 fc 介于 30MHz ~ 40MHz 之间,其中直达传输信号 S D 和多径传输信号 S M 满足以下要求:
可设置无线传输信号为连续波(CW)信号或调幅(AM)信号。对于 AM 信号,其调制信号为2MHz频率的正弦信号。
模拟产生直达传输信号SD,载波幅度有效值可设置,有效值范围为100mV ~ 1V ,以 100mV 的步进可调,要求幅度有效值误差不大于10mV;对于AM 信号,其AM 调制度可设置,调制度范围为30%~90%,以10%的步进可调,误差不大于5%。
模拟产生的多径传输信号SM,其幅度衰减和时延可设置。相对直达信号,多径信号的时延范围为50 ~ 200 ns ,以 30ns 的步距步进可调,要求时延误差不大于10ns;幅度的衰减范围为0 ~ 20 dB ,以2 dB 的步进可调,要求衰减误差不大于1dB。
(2)模拟产生载波频率覆盖30 ~ 40MHz 波段的无线传输信号,载波频率fc以1MHz 为步进可设置,其中直达传输信号SD 和多径传输信号SM 满足以下要求:
模拟产生直达传输信号SD,在30MHz ~ 40MHz 范围内设置载波频率,要求频率误差不大于2%;其他可设置参数满足(1)中1)和2)的指标要求。
模拟产生多径传输信号SM,相对直达信号SD的初始相位可设置,设置范围为0°~180°,以30°的步进可调,要求初始相位误差不大于10°;其他可设置参数满足(1)中3)的指标要求。
在频段30MHz ~ 40MHz内合路输出无线传输信号SOut,要求合路输出信号正确,波形稳定。
(1)在无线通信中发射天线发射的无线通信信号,经过空间传输达到接收机天线处,是直达信号、多径信号合路形成的无线传输信号。因为在无线传输过程中,传输信道存在多径信道,也就是说无线电信号从发射天线发射,可能经过多个路径抵达接收天线,比如从建筑物或其他物体反射的信号与直接传输的直达信号一起被接收机接收,如下图所示。

(2)假设发射信号直达接收机的接收信号定义为x(t),对于多径信号可以表示为:。其中,α, τ, φ三个参数反应多径信道特性,分别代表多径信号的幅度衰减、时延、以及多径引入的初相变化。初相变化通常假定为0°~180°。
(3)典型的直达和多径AM信号波形如下图所示。其中红色为直达信号,橙色为多径信号,它相对直达信号有时延、初相和幅度的变化。

1、直达信号SD,有CW与AM两种信号,其载波频率可调(30MHz~40MHz),载波幅度可调(有效值0.1V~1V,步进0.1V),AM信号调制度可调(30%~90%,步进10%)。
2、多径信号SM, ,其中幅度衰减α为0~20dB(步进2dB),时延τ为50ns~200ns(步进30ns),相移 φ为0~180°(步进30°)。
连续波(载波):要求频率30MHz~40MHz可调,幅度0.1V~1V按步进0.1V可调。这个信号比较简单,可以有多种满足要求的电路,例如DDS、频率合成器、压控LC振荡器等。其中,压控LC振荡器电路最为简单,输出频率可以连续调节,但是其频率稳定性最差。频率合成器与DDS均可以做到极高的频率稳定度,但频率合成器只能产生频率步进变化的信号,而DDS可以产生频率几乎连续变化的信号。
实现幅度控制的电路有:数控衰减器、可编程增益放大器(PGA)、压控增益放大器(VGA)、乘法器(用直流电平控制)等。或者直接用电阻网络构成步进衰减器(只能实现有限个步进衰减值)。
值得注意的是,如果采用DDS产生信号,那么大部分DDS芯片内部可以直接设置其输出电平而无需上述幅度控制电路。
AM波:其载波就是上述连续波。要求调制频率为2MHz,调制度为0.3~0.9,按步进0.1可调。上述产生连续波的所有方法均可用于调制信号产生。

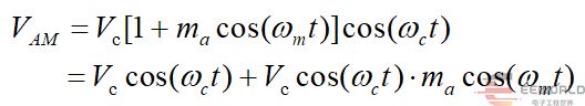
其中Vc是载波的幅度,ωc与ωm分别是载波频率与调制波频率,ma是调制度。
所以用乘法器与加法器可以实现AM调制。通常乘法器的函数关系是W=kXY,其中k是乘法器的系数。若将调制信号Vmcos(ωmt)输入X,则调制度ma=kVm,即改变调制信号的幅度就可以改变调制度。
以一个乘法器芯片AD835为例,该芯片的函数关系是W=kXY+Z,其中的系数k≈1(单位是1/V)。所以若将载波信号输入该芯片的Y端与Z端,调制信号输入该芯片的X端,则输出的AM信号载波幅度由输入的载波信号幅度确定,调制度由输入的调制信号幅度确定。

多径信号的基本产生方法与值达信号是一致的,但是有时延与相移的要求,这是本题中的难点。
先讨论连续波的多径信号,以α, τ, φ表示幅度衰减、时延、初相变化,其表达式为

将连续波信号做一个衰减α,再增加一个相移Δφ=ωcτ+φ,就可以得到连续波的多径信号。由于相位的周期性,这个相移被局限在0~2π之间。
一个直观的方法是RC移相(包括无源的RC与有源的全通滤波器)。这个方法的问题在于:
通常一级RC的移相范围控制在60°以内比较合适,要做到360°移相大概需要6级。
RC移相会造成幅度的变化,要注意幅度的补偿。采用全通滤波器可以保持输出幅度的基本不变,但是其中的运放必须有足够高的频响。
调节相位需要改变R或C,用微处理器控制时比较困难。若只有为数不多的几个步进值尚可用模拟开关切换等手段实现,若步进很密集或者需要连续控制时几乎无法实现,可能只能采用电位器手动调节。
假定能得到连续波Vcos(ωt)的正交信号Vsin(ωt),将它们加权叠加,V=kIVcos(ωt)+kQVsin(ωt)。两个加权系数的范围均为-1~ +1。若满足平方和等于1(即分别为相移角的余弦与正弦),则叠加后的信号幅度不变,相位取决于两个加权系数且可以任意变化,如下图所示。

这个方法中,两个信号的加权过程可以用乘法器实现,加权系数由微处理器产生,移相精度取决于两个加权系数的准确度,可以得到比较完美的移相信号。
若采用RC移相网络,则必须考虑频率改变后RC时间常数的调整。尽管与前一个RC直接移相的方法相比,由于只要一个固定的90度相移,所以在实现方法上简化了很多,但还是比较麻烦的。所以比较适用于一个固定频率信号的场合。
理论上也可以采用积分电路实现90度相移。但是实际上要考虑运放的偏置电流与输入失调等因素,不可能做到理想积分电路,所以实际的相移可能不到90度。另外,对于高频信号,积分器的稳定问题也是必须考虑的。
若信号是采用锁相环频率合成的方法产生的,那么可以比较简单的得到一对正交信号。其方法是产生一个4倍于需要信号频率的信号,然后用逻辑电路将它分频,就可以得到一对正交信号。由于逻辑电路的输出通常是矩形波,所以后面还需要有合适的滤波器将矩形波转变为正弦波。
对于多通道输出的DDS芯片,通常都可以独立控制各个通道的频率、初相位与幅度,所以用DDS芯片可以直接产生带有相对相位差与幅度差的两路同频信号,其中一路作为直达信号,另一路就可以直接作为多径信号,是所有实现多径信号的方法中最为简捷的。

所以多径AM信号可以用多径载频信号与多径调制信号通过相乘与相加实现。其中多径载频信号的幅度乘以衰减因子α,相移Δφc=ωcτ+φ;多径调制信号的调制度不变,相移Δφm=ωmτ。
必须注意到的是:这两个多径信号的相移中,除了一个表示初相位的φ以外,表示时延的相移是完全不同的,多径载频信号的是ωcτ,而多径调制信号的是ωmτ,也就是说相移与频率成正比。这表示它是一个具有平坦群延时特性的线性相位系统。
由于三角函数的周期性,在实际电路中,上述两个相移均在360度以内。即载频相移Δφc=2π{(fcτ+φ/2π)},调制相移Δφm=2π{(fmτ)},式中{x}表示取x的小数部分。

与前面的设计过程中略有差异的是:为了提高精度,两个信号发生器传输的信号幅度没有做预先的衰减。其中原始信号的幅度Vc按照调制器的最大允许幅度进行设计,调制信号的幅度Vm按照调制器中乘法器的系数k以及调制度ma进行设计。然后将多径信号按照题目的要求进行多径衰减,合路后的信号再根据题目的要求进行幅度控制。
这个题的关键,是不能先做一个直达信号,然后从这个直达信号中得到多径信号。因为这样做,就必须制作一个延时长达200ns的线性相位系统,这几乎是一个不可完成的任务。
而如果将直达信号与多径信号分开制作,最后再将两个信号合并,则由于三角函数的周期性,多径信号的延时可以控制在360度之内,就有多种方法可以选择。
特别声明:以上内容(如有图片或视频亦包括在内)为自媒体平台“网易号”用户上传并发布,本平台仅提供信息存储服务。
95后女大学生养了6万多条毒蛇,蛇毒卖西医,蛇胆蛇肉蛇油卖中医,除去人工和成本年入超百万
女子独自带5岁女儿和未满1岁儿子到餐厅用餐,女儿不幸从包间窗户坠亡……法院判了:餐厅赔近74万元,母亲担责三成
男子取保候审期间为立功,“做局”检举他人酒驾,获轻判次月被发现,最终法院改判,两罪并罚
13岁男孩骑车被绳子锁喉,食道气管全断裂!村支书泪崩:孩子成绩全校前3,母亲患白血病和乳腺癌……栓绳人仅出1万元,远不够治疗费
华为Mate之父李小龙谈Pura X Max:我最用过的最好用的双折叠
《深渊之印》全新付费 DLC《诅咒试炼》将于4 月 15 日在 Steam 平台全球上线
2026-04-14 08:27:08
浏览次数: 次
返回列表